__________________________________________
 

__________________________________________
 

Paese: Stati Uniti d'America
Elemento scheda: Etichettatura

ETICHETTATURA

Vini con un titolo alcolometrico 7% vol

A mero titolo conoscitivo si precisa che i vini con un titolo alcolometrico ≥ 7% vol sono sotto la giurisdizione del TTB (Alcohol and Tobacco Tax and Trade Bureau).

Elementi obbligatori

Altezza

Posizione

Marchio

≥2mm

Etichetta del Marchio (“Brand label”)

Designazione del prodotto

≥2mm

Etichetta del Marchio (“Brand label”)

Appellation of origin (se presente)

≥2mm

Etichetta del Marchio (“Brand label”)

Titolo alcolometrico

1-3 mm

Non definita

Contenuto netto

≥2mm

Non definita

Paese di origine

≥2mm

Non definita

Nome e indirizzo dell’importatore

≥2mm

Non definita

Dichiarazione dei solfiti

≥2mm

Non definita

Governament Warning

≥2mm

Non definita

Lotto

Non definita

Non definita

Posizionamento delle indicazioni obbligatorie

Per i prodotti vitivinicoli con un titolo alcolometrico ≥ 7% vol è necessario prendere in considerazione solo il concetto di “brand label” (etichetta del marchio), in quanto su di essa devono apparire le seguenti indicazioni obbligatorie:

  1. Marchio
  2. Designazione del prodotto
  3. Appellation of origin (se presente)

L’etichetta del marchio può essere alternativamente l’etichetta fronte/l’etichetta retro o, in alternativa, sola l’etichetta fronte o solo l’etichetta retro.

Altezza dei caratteri

Contenitori di capacità superiore a 187 millilitri.

Le indicazioni obbligatorie, ad eccezione del titolo alcolometrico (vedasi specifica nella tabella), devono essere riportate in carattere di altezza minima pari a 2mm.

Contenitori di capacità uguale o inferiore a 187 millilitri.

Le indicazioni obbligatorie, ad eccezione del titolo alcolometrico (vedasi specifica nella tabella), devono essere riportate in carattere di altezza non inferiore a 1mm.

Lingua

Tutte le informazioni obbligatorie in etichetta devono essere riportate in lingua inglese. Il nome del marchio, l’indirizzo e il nome del produttore/imbottigliatore, possono non essere in lingua inglese soltanto se “product of” precede immediatamente il nome del paese di origine dichiarato (es. “Product of Italy”). Possono essere riportate diciture in lingue straniere purché non confliggano o non siano contraddittorie rispetto alle indicazioni obbligatorie statunitensi.

Elenco delle indicazioni obbligatorie

  • MARCHIO

Sulle etichette dei vini esportati negli USA è obbligatorio indicare il nome del marchio. Normalmente è questa l'indicazione più visibile tra quelle riportate in etichetta. Se il prodotto viene commercializzato senza il nome del marchio, allora il nome dell'imbottigliatore, produttore o dell'importatore funge da nome del marchio.

Il nome del marchio deve: essere leggibile, apparire su uno sfondo di un colore che crei contrasto rispetto al nome stesso ed essere separato rispetto alle altre indicazioni. 

  • DESIGNAZIONE DEL PRODOTTO

In etichetta deve essere riportata la classe/tipologia di appartenenza del prodotto. La designazione della classe e della tipologia si basa sugli standard di identità (“Standards of identity”). In particolare, vengono previste nove diverse classi (es. “Grape wine”, “Sparkling grape wine”) suddivise a loro volta in molteplici e specifiche tipologie (es. “Red wine”, “Sparkling white wine”).

Si riportano di quesito le classi e le tipologie previste dal Codice federale statunitense:

  • APPELATION OF ORIGIN

Nel caso in cui in etichetta venga riportata un’“Appelation of origin”, quest’ultima deve essere indicata nella brand Label insieme all’indicazione del marchio e alla designazione del prodotto.

Per maggiori informazioni sul concetto di “Appelation of origin” si prega di contattare l’Ufficio giuridico alla seguente email: Questo indirizzo email è protetto dagli spambots. È necessario abilitare JavaScript per vederlo.

  • TITOLO ALCOLOMETRICO

In etichetta deve essere riportato l’indicazione del titolo alcolometrico espresso in % di alcol per volume.

Il Codice federale statunitense prescrive i seguenti formati:

  • “Alcohol __ % by volume” o dicitura similare. Nel caso in cui le parole “alcohol” e “volume” vengano abbreviate, quest’ultime devono essere indicate nella seguente modalità “alc.” (alc) e/o “vol.” (vol).

Qualora venga utilizzata tale modalità vengono ammesse le tolleranze di cui sotto:

  • 1% per i vini con titolo alcolometrico superiori a 14 % vol
  • 1,5 % per i vini con titolo alcolometrico pari o inferiore a 14 % vol
  • “Alcohol __ % to __ % by volume” o dicitura similare. Per le abbreviazioni valgono le medesime disposizione di cui sopra.

Qualora venga utilizzata tale modalità vengono ammesse le tolleranze di cui sotto:

  • 2% per i vini con titolo alcolometrico superiori a 14 % vol
  • 3 % per i vini con titolo alcolometrico pari o inferiore a 14 % vol

Non sono consentite tolleranze né al di sotto del valore minimo (7 %vol) né al di sopra del valore massimo (24 % vol).

Nel caso in cui vengano applicate le tolleranze previste dalla normativa statunitense, l’indicazione del titolo alcolometrico non può comportare sovrapposizioni tra le diverse classi e tipologie.

Si ricorda che l’abbreviazione “ABV” non è consentita.

  • CONTENUTO NETTO

Il contenuto netto del vino, per il quale è prescritto uno “Standards of fill” *, deve essere indicato nella stessa modalità prevista dal codice federale statunitense. Il contenuto netto dei vini per i quali non è prescritta una norma di riempimento al § 4.72 è indicato nel sistema di misura metrico come segue:

(1) Se superiore a un litro, il contenuto netto è indicato in litri e in porzioni decimali di litro con l'approssimazione del centesimo di litro (L, l).

(2) Se inferiore a un litro, il contenuto netto deve essere indicato in millilitri (ml, ML).

Il contenuto netto può apparire sull’etichetta oppure può essere inciso / soffiato sul contenitore.

*Standards of fill for wine

Nel 2019, il TTB aveva notificato all'OMC un avviso di proposta di regolamentazione che avrebbe eliminato tutti gli standard di riempimento per il vino, ad eccezione di quelli da 50 ml. All'epoca, era stato chiesto dagli operatori del settore di mantenere gli standard di riempimento esistenti per il vino, con la flessibilità necessaria per soddisfare le esigenze specifiche del settore.

Nel gennaio 2021, il TTB aveva infine deciso di non eliminare gli standard di riempimento per il vino e gli alcolici e di autorizzare standard di riempimento specifici (per il vino i nuovi formati erano i seguenti: 335 ml, 250 ml e 200 ml).

Nel maggio 2022, il TTB aveva pubblicato la "Notice No. 210" nel Federal Register, in cui proponeva l'aggiunta di 10 "Standards of fill" per il vino. In alternativa, formulava l’ipotesi di eliminare tutti gli "Standards of fill", mantenendo un valore minimo di 50 ml per il vino.

I 10 "Standards of fill" proposti dal TTB erano i seguenti:

  • 2.25 l
  • 1.8 l;
  • 720 ml;
  • 700 ml;
  • 620 ml;
  • 550 ml;
  • 360 ml;
  • 330 ml;
  • 300 ml;
  • 180 ml.

Il TTB, a seguito di un'attenta analisi dei commenti ricevuti, ha deciso di non eliminare gli "Standards of fill" per il vino, autorizzando, invece, l'aggiunta degli "Standards of fill" sopra citati.

Si riporta di seguito estratto del Codice federale statunitense in cui vengono elencati tutti gli "Standards of fill" ammessi.

Tali nuove disposizioni sono in vigore dal 10 gennaio 2025.

Qualora il contenuto netto venga indicato secondo il sistema internazionale, esso può apparire in etichetta anche espresso mediante l’unità di misura statunitense nelle seguenti modalità:

b) Per altri volumi di riempimento:

- Volumi equivalenti a meno di 100 once liquide saranno indicati solo in once liquide, con precisione al decimo di un'oncia liquida più vicina, ad esempio, 700 ml (23,7 fl.oz.).

- Volumi equivalenti o superiori a 100 once liquide saranno indicati solo in once liquide, accurati all'oncia liquida intera più vicina; per esempio, 6 litri (203 fl. oz.).

Tolleranze

La dichiarazione del contenuto netto deve indicare esattamente il volume del vino all'interno del contenitore. Tuttavia, sono consentite le seguenti tolleranze:

- Discrepanze dovute esclusivamente a errori di misurazione che si verificano nel riempimento condotto nel rispetto delle buone pratiche commerciali.

- Discrepanze dovute esclusivamente alle differenze nella capacità dei contenitori, risultanti esclusivamente da inevitabili difficoltà nella fabbricazione di tali contenitori in modo da avere una capacità uniforme. Non è consentita una tolleranza maggiore nel caso di contenitori che, a causa della loro progettazione, non può essere realizzato con capacità approssimativamente uniforme a quanto consentito per i contenitori fabbricati in modo da avere una capacità approssimativamente uniforme.

- Discrepanze nella misura dovute alle differenze nelle condizioni atmosferiche in vari luoghi e che inevitabilmente derivano dall'esposizione ordinaria e abituale delle bevande alcoliche in contenitori all'evaporazione.

  • PAESE D’ORIGINE

Il contenuto della dicitura non è definito negli USA, risulta quindi libero. Le diciture "Product of Italy" o "Wine of Italy" sono entrambe valide. La dichiarazione può comparire su qualsiasi parte dell'etichetta e deve essere evidente.

  • NOME E INDIRIZZO DELL’IMPORTATORE

In etichetta deve essere riportato il nome e indirizzo dell’importatore preceduti dalla dicitura "imported by", o simili formulazioni.

Per completezza informativa si riporta de seguito la definizione di indirizzo per la normativa statunitense:

“Address of the principal place of business in the United States of the person responsible for the importation. The “place” stated shall be the post office address shown on the basic permit or other qualifying document of the premises at which the operations took place; and there shall be shown the address for each operation which is designated on the label. An example of such use would be “Produced at Gilroy, California, and bottled at San Mateo, California, by XYZ Winery,” except that the street address may be omitted. No additional places or addresses shall be stated for the same person unless”. 

  • DICHIARAZIONE DEI SOLFITI

I vini che contengono 10 ppm o più di anidride solforosa devono riportare sull'etichetta la dicitura “Contains sulfites” or “Contains (a) sulfiting agent(s)”, come riportato nel Codice Federale statunitense.

Nel caso di prodotti vitivinicoli il cui contenuto di solfiti è inferiore a 10 ppm non è necessario riportare in etichetta la dichiarazione relativa alla presenza dei solfiti (“Contains sulfites”).

In tal caso, al fine dell’approvazione dell’etichetta, l’azienda deve presentare un'analisi dei solfiti condotta da un laboratorio del TTB che stabilisca che il vino contiene meno di 10 ppm di anidride solforosa.

La domanda di approvazione dell’etichetta non deve essere presentata prima di aver ricevuto i risultati di laboratorio del TTB che confermano che il vino contiene meno di 10 ppm di anidride solforosa totale.

A seconda dei risultati delle analisi di laboratorio, un vino può essere etichettato con le seguenti diciture facoltative.

Quando il rapporto di laboratorio del TTB mostra meno di 10 ppm di solfiti:

  • “Contains less than 10 ppm sulfites”.
  • “Contains less than 10 ppm sulfur dioxide”

Quando il laboratorio TTB non rileva solfiti:

“No sulfites [sulfur dioxide] detected”.

“No detectable sulfites [sulfur dioxide]”.

Il TTB non consente dichiarazioni quali “sulfite free”, “free of sulfites” o “contains no sulfites.”.

  • GOVERNAMENT WARNING

Tutti i prodotti con 0,5% di alcol in volume o più devono recare il Government Warning; queste due parole devono essere in grassetto e stampatello maiuscolo.  

Il resto dell'avvertenza non può essere in grassetto. 

Inoltre, l'avvertenza deve essere completamente separata e riportata a parte rispetto a tutte le altre informazioni, utilizzando colori a contrasto.  

L'avvertenza deve apparire in un numero massimo di caratteri (lettere, numeri, segni) per pollice, secondo come quanto segue: 

Capacità contenitore 

Dimensione minima 

Numero massimo di caratteri per pollici 

Fino a 237 millilitri (8 fl.Oz.) 

1 mm 

40 

Oltre 237 millilitri (8 fl.Oz.) e fino a 3 litri (101 fl.Oz) 

2 mm 

25 

Otre 3 litri (101 fl.Oz.) 

3 mm 

12 

La dichiarazione è la seguente: 

GOVERNMENT WARNING: (1) ACCORDING TO THE SURGEON GENERAL, WOMEN SHOULD NOT DRINK ALCOHOLIC BEVERAGES DURING PREGNANCY BECAUSE OF THE RISK OF BIRTH DEFECTS. (2) CONSUMPTION OF ALCOHOLIC BEVERAGES IMPAIRS YOUR ABILITY TO DRIVE A CAR OR OPERATE MACHINERY, AND MAY CAUSE HEALTH PROBLEMS. 

Nelle etichette di prodotti vitivinicoli destinati a circolare nel mercato statunitense, non può essere riportato il logo della donna incinta.

  • LOTTO

Il numero di lotto deve essere indicato con un codice leggibile che renda possibile risalire al prodotto ed identificare la partita a cui questo appartiene. Non esistono regolamentazioni sul formato da utilizzare e il numero di lotto può comparire sia sull'etichetta che sulla bottiglia. 

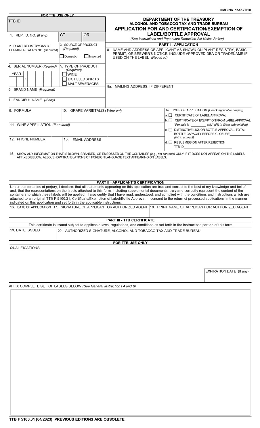
COLA-Certificato di approvazione dell'etichetta

Prima di procedere all'importazione di un vino negli USA, è necessario che l'etichetta del prodotto sia stata approvata e abbia quindi ottenuto il relativo "Certificate of Label Approval" (COLA) dal TTB. Saranno l'agente o l'importatore ad occuparsi della pratica con il TTB per conto dell'esportatore; quest'ultimo è invece tenuto a presentare una copia completa dell'etichetta anteriore e posteriore. Al momento dello sdoganamento, sarà necessario presentare una copia del certificato COLA.

Esempio di richiesta per l'ottenimento del Certificato di approvazione dell'etichetta COLA

COLAs online è un sistema che permette alle aziende registrate ("Industry Members") di richiedere e verificare online lo status della propria richiesta di Certificazione/Esenzione di etichetta /Approvazione della bottiglia (COLA). 

Attraverso il registro pubblico COLA (COLA Public Registry) al link www.ttbonline.gov/colasonline/publicSearchColasBasic.do è possibile cercare i certificati COLA approvati, scaduti, revocati e quelli che siano stati oggetto di rinuncia. 

Nel quadro del processo COLA, a seconda del prodotto da importare, potrebbe essere necessario ottenere un'approvazione del prodotto pre-COLA. La valutazione del prodotto pre-COLA comporta una revisione degli ingredienti e della formulazione del prodotto da importare; ai fini di tale pre-approvazione, potrebbe inoltre essere necessario produrre le analisi di laboratorio del prodotto. Le valutazioni pre-COLA non si applicano ai vini, ma potrebbero applicarsi ad altri prodotti vinicoli o a prodotti con aromi e coloranti aggiunti. Ulteriori informazioni possono essere reperiteal seguente link: Guida pubblica TTB | TTB: Ufficio per le imposte e il commercio di alcol e tabacco.

Il tempo medio per l'ottenimento del certificato di approvazione di un'etichetta è di circa 15 giorni

Presentazione della domanda online

Si rende noto che, COLAs Online accetta immagini di etichette in formato JPEG (.jpg, .jpeg) o PNG (.png). Non accetta, invece, immagini in formato TIFF; infatti, se si tenta di caricare un'immagine salvata in formato TIFF, verrà visualizzato un messaggio di errore. 

I singoli file non devono superare 1,5 MB. Ogni etichetta (anteriore, posteriore, collo di bottiglia, ecc.) deve essere caricata come allegato singolo; i file allegati devono contenere esclusivamente l'immagine dell'etichetta, rimuovendo eventuali ulteriori informazioni quali ad esempio la testata o le dimensioni dell'etichetta. 

Infatti, è necessario assicurarsi che l'immagine sia ritagliata in modo da mostrare solo l'etichetta stessa. Nel caso in cui l’etichetta sia stata scansionata, l'immagine di partenza probabilmente presenterà uno spazio bianco o altro sfondo attorno all'etichetta. In tal caso, si invita a ritagliare tutto lo sfondo in eccesso dall'immagine, in modo che i bordi dell'immagine tocchino appena i bordi dell'etichetta.

Vedasi esempio di cui sotto:

Nel momento in cui si caricano gli allegati, vengono richieste le dimensioni dell'etichetta. Le dimensioni comunicate devono corrispondere esattamente a quelle dell'etichetta stampata e non a quelle dell'immagine dell'etichetta.

Per ulteriori informazioni, si prega di prendere visione di quanto riportato al seguente link: www.ttb.gov/faqs/colasonline.shtml#Electronic.

COLA- Lista completa di modifiche possibili per le etichette approvate

Una volta che un'etichetta riceve l'approvazione del TTB, è possibile effettuare talune modifiche senza dover ottenere un nuovo COLA. Il TTB rende pubblica una lista di modifiche possibili alle etichette approvate di cui si riportano gli estratti di seguito (all’interno del documento sono riportate anche le modifiche previste per “Distilled Spirits” e “Malt beverage”).

Vini con un titolo alcolometrico < 7% vol

A mero titolo conoscitivo si precisa che i vini con un titolo alcolometrico < 7% vol sono sotto la giurisdizione di FDA (Food and Drug Administration).

Elementi obbligatori

Altezza

Posizione

Designazione del prodotto

Circa 1,6 mm

PDP

Appellation of origin (se presente)

Circa 1,6 mm (per analogia alla designazione del prodotto)

PDP

Titolo alcolometrico

1-3 mm

Non definita

Contenuto netto

Vedasi specifiche

PDP

Paese di origine

Circa 1,6 mm

IP

Nome e indirizzo dell’importatore

Circa 1,6 mm

IP

Dichiarazione degli allergeni

Circa 1,6 mm

IP

Governament Warning

Vedasi specifiche

Non definita

Lotto

Non definita

Non definita

Lista ingredienti

Circa 1,6 mm

IP

Tabella nutrizionale

Vedasi specifiche

IP

Posizionamento delle indicazioni obbligatorie

Si premette che secondo la normativa US, il cd. IP “Information panel” corrisponde all’etichetta retro e il cd.  PDP “Principal display panel” all’etichetta fronte.

Si riporta sotto estratto in cui vengono mostrati, a titolo esemplificativo, l’“Information panel” e “Principal display panel” per due diverse tipologie di imballaggio.

Con riferimento all’etichetta fronte (PDP), si precisa che devono essere riportate la denominazione del prodotto e il contenuto netto.

Con riferimento all’etichetta retro (IP), si prescrive che tutte le indicazioni devono necessariamente essere insieme, senza alcuna indicazione nel mezzo.

Queste indicazioni in etichetta comprendono il nome e l'indirizzo del produttore, dell’imbottigliatore o del distributore, l'elenco degli ingredienti, l'etichettatura nutrizionale e l'eventuale etichettatura degli allergeni.

Inoltre, è obbligatorio riportare il lotto e il paese di origine. Quest’ultimo, in caso di prodotto importato, deve essere ben visibile e riportato in prossimità del nome/indirizzo del partecipante al circuito commerciale, con dimensioni almeno comparabili a quest’ultima indicazione.

Altezza dei caratteri

Le indicazioni obbligatorie riportate in etichetta retro (IP) devono essere riportate con caratteri di altezza pari ad almeno un sedicesimo (1/16) di pollice che equivalgono a 1,6 mm. Le lettere non devono essere più alte di tre volte la loro larghezza e le lettere devono essere sufficientemente contrastanti con lo sfondo in modo da essere facilmente leggibili.


(A titolo conoscitivo, per l'etichettatura del pannello informativo (etichetta retro) sulle confezioni di alimenti molto piccole si possono usare caratteri di dimensioni più piccole, come indicato nel 21 CFR 101.2(c) e (f)).

Per l’ETICHETTA NUTRIZIONALE e per l’indicazione della DENOMINAZIONE si invita a prendere visione di quanto specificato di seguito.

Per quanto concerne il CONTENUTO NETTO, il Codice Federale Statunitense prescrive quanto segue:

Lingua

Le indicazioni obbligatorie devono essere riportate in lingua inglese.

  • DENOMINAZIONE DEL PRODOTTO

Secondo la normativa statunitense la denominazione del prodotto deve essere riportata in grassetto nel PDP e deve essere la dicitura più evidente sull’etichetta.

Nel caso di prodotti vitivinicoli, come denominazione del prodotto, deve essere riportata la classe/tipologia di appartenenza prescritta dal titolo 27 del Codice federale statunitense (es. “wine”, “sparkling wine” etc.).

Per verificare quale sia la classe/tipologia di appartenenza del vostro prodotto, si invita a prendere visione di quanto riportato alla voce “Designazione del prodotto” per i vini con un titolo alcolometrico ≥ 7% vol.

  • TITOLO ALCOLOMETRICO

Si invita a riportare il titolo alcolometrico come indicato alla voce “Titolo alcolometrico” per i vini con un contenuto alcolico ≥ 7% vol.

  • CONTENUTO NETTO

Secondo la normativa statunitense il contenuto netto deve essere riportato nel PDP, solitamente in posizione parallela rispetto alla base del contenitore.  

Inoltre, deve essere indicato sia nel sistema metrico internazionale (nel caso in esame “ml”), sia nel sistema metrico statunitense (fluid ounces).  

  • PAESE DI ORIGINE

I prodotti importati devono riportare obbligatoriamente l’indicazione relativa al paese di origine, ad esempio nella seguente modalità “Product of Italy”.

  • NOME E INDIRIZZO DELL’IMPORTATORE

La normativa statunitense in merito ai partecipanti al circuito commerciale prescrive l’indicazione del produttore/imbottigliatore, o distributore.

Inoltre, deve essere riportato il nome/ragione sociale e indirizzo dell’importatore con sede nel mercato statunitense.

  • DICHIARAZIONE DEGLI ALLERGENI

L’indicazione degli allergeni (come nel caso dei solfiti) può essere riportata all’interno della lista ingredienti come segue: es. “Metabisolfito di potassio (solfiti)”.

In alternativa, è consentito riportare il nome della sostanza che provoca allergia (Metabisolfito di potassio) nella lista ingredienti e in aggiunta, in prossimità di quest’ultima, la dicitura “Contains:sulfite”.

Si copiano sotto degli esempi provenienti dal mondo alimentare.

  • GOVERNAMENT WARNING

Anche i vini con un titolo alcolometrico inferiori a 7% vol devono riportare il Government warning. Per maggiori specifiche si invita a prendere visione della voce “Governament warning” si invita a prendere visione di quanto per i vini con un contenuto alcolico ≥ 7% vol.

  • LOTTO

Non essendo prevista dalla normativa statunitense una prescrizione specifica in merito alla modalità di indicazione del lotto, l’ufficio scrivente consiglia di indicarlo secondo la normativa unionale “L”.

  • LISTA INGREDIENTI

In etichetta devono essere riportata la lista ingredienti preceduta dalla dicitura “INGREDIENTS”. Gli ingredienti devono essere riportati in ordine decrescente di peso.  

Deve essere riportata nello stesso campo visivo del nome e indirizzo del produttore, imbottigliatore o distributore e può essere indicata prima o dopo l’indicazione di quest’ultimi e della tabella nutrizionale. 

Può essere alternativamente sia sul PDP che sull’IP. 

Gli ingredienti devono essere designati utilizzando il loro nome comune o usuale.

Le sostanze che vengono classificate come “Chemical preservatives” devono essere riportate nella lista ingredienti indicando la funzione (per es. “preservative”, “to retard spoilage”, “a mold inhibitor”, “to help protect flavor”, “to promote color retention”) e la denominazione usuale.

A titolo esemplificativo, si riporta di seguito un prototipo di lista ingredienti:

  • TABELLA NUTRIZIONALE

In etichetta deve essere riportata la tabella nutrizionale in una delle modalità prescritte dal Codice federale statunitense.

Al fine di redigere la tabella nutrizionale in conformità con la normativa statunitense si riporta sotto modello da utilizzare per una tabella nel formato “standard verticale” e nel formato “semplificato”.

Con riferimento alla tabella nutrizionale semplificata, essa si compone obbligatoriamente delle seguenti diciture: Calories, Total Fat, Sodium, Total Carbohydrate (di cui Total Sugars), Protein. 

La tabella nutrizionale semplificata può essere utilizzata solo se almeno 8 dei 15 ingredienti seguenti sono presenti nel prodotto in quantità “insignificante”:

 

Il termine “Not a significant source” può essere utilizzato quando gli elementi rientrano nei seguenti limiti: 

I nutrienti di tale elenco presenti in quantità insignificanti, vanno riportati nella nota a pie di pagina dopo la scritta “Not a significant source”.

CALIFORNIA

Il 27 settembre 2022 il governatore Gavin Newsom ha firmato il Senate Bill 1013, entrato in vigore il 1° gennaio 2023.   

Il disegno di legge amplia la definizione di “bevanda” inserendo anche il vino e i distillati nel “California Beverage Container Recycling Program (BCRP)” a partire dal 1° gennaio 2024. 

Qualunque persona che immetta bevande alcoliche nello stato Californiano deve necessariamente registrarsi con CalRecycle al fine di soddisfare i nuovi requisiti. 

Per i prodotti inclusi nell'ambito di applicazione della riforma, a partire dal 1° gennaio 2024, come per il vino, è prevista un’esenzione dai requisiti di etichettatura fino al 31 giugno 2025. 

A partire dal 1° luglio 2025 le etichette delle bevande alcoliche destinate al mercato californiano dovranno riportare in etichetta in modo chiaro, leggibile e indelebile il messaggio CVR.  

Per maggiori informazioni sul punto si invita a conttatare l'ufficio giuridico alla seguente email: Questo indirizzo email è protetto dagli spambots. È necessario abilitare JavaScript per vederlo.