Per il ravvicinamento delle legislazioni degli Stati membri relative al precondizionamento in massa o in volume di alcuni prodotti in imballaggi preconfezionati.
Modificata dalle direttive n. 891/78; n. 45/07.
Articolo 1.
La presente direttiva si applica agli imballaggi preconfezionati contenenti prodotti destinati alla vendita in quantità nominali unitarie costanti:
— pari a valori prefissati dal riempitore
— espresse in unità di massa o di volume,
— superiori o uguali a 5 g o a 5 ml e inferiori o uguali a 10 kg o 10 l.
Articolo 2
1. Ai sensi della presente direttiva, si intende per imballaggio preconfezionato l’insieme di un prodotto e del singolo imballaggio in cui il prodotto è preconfezionato.
2. Un prodotto è preconfezionato quando è contenuto in un imballaggio di qualsiasi tipo chiuso in assenza dell’acquirente e preparato in modo che la quantità del prodotto in esso contenuta abbia un valore prefissato e non possa essere modificata senza aprire o alterare palesemente l’imballaggio stesso.
Articolo 3
1. Gli imballaggi preconfezionati che possono essere contrassegnati col marchio CEE di cui al paragrafo 3.3 dell’allegato I sono quelli rispondenti alle prescrizioni della presente direttiva e dell’allegato I.
2. Essi sono sottoposti ai controlli metrologici alle condizioni definite nell’allegato I, punto 5, e nell’allegato II.
Articolo 4
1. Tutti gli imballaggi preconfezionati di cui all’articolo 3 debbono recare l’indicazione della massa o del volume, denominati massa nominale o volume nominale, di prodotto che debbono contenere in conformità dell’allegato I.
2. Gli imballaggi preconfezionati contenenti prodotti liquidi debbono recare l’indicazione del loro volume nominale e gli imballaggi preconfezionati contenenti altri prodotti l’indicazione della loro massa nominale, salvo i casi di uso commerciale o di regolamentazioni nazionali contrarie, uguali in tutti gli Stati membri, o i casi di regolamentazioni comunitarie contrarie.
3. Se, per una categoria di prodotti o per un modello di imballaggio preconfezionato, l’uso commerciale o le regolamentazioni nazionali non sono uguali in tutti gli Stati membri, tali imballaggi debbono recare almeno le indicazioni metrologiche corrispondenti all’uso commerciale o alla regolamentazione nazionale in vigore nel paese di destinazione.
4. Fino alla scadenza del periodo transitorio durante il quale all’interno della Comunità è autorizzato l’impiego delle unità di misura del sistema imperiale di cui all’allegato II della direttiva 354/71 del Consiglio, del 18 ottobre 1971, per il ravvicinamento delle legislazioni degli Stati membri relative alle unità di misura, modificata dall’atto di adesione, l’indicazione della massa nominale e/o del volume nominale espressi in unità SI conformemente al punto 3.1 dell’allegato I della presente direttiva deve, se il Regno Unito o l’Irlanda lo desiderano, essere accompagnata sul loro territorio nazionale dall’indicazione del risultato della loro trasformazione in unità di misura del sistema imperiale (UK), ottenuto applicando i seguenti coefficienti di conversione:
1 g = 0,0353 ounces (avoirdupois)
1 kg = 2,205 pounds
1 ml = 0,0352 fluid ounces 1 l = 1,760 pints o 0,220 gallons.
Articolo 5
Gli Stati membri non possono, per motivi inerenti alle indicazioni obbligatorie ai sensi della presente direttiva, alla determinazione del volume o della massa oppure ai metodi di misura o di controllo impiegati, rifiutare, vietare o limitare l’immissione sul mercato degli imballaggi preconfezionati che soddisfano alle prescrizioni e ai controlli della presente direttiva.
Articolo 6
Le modifiche necessarie per adattare al progresso tecnico le prescrizioni degli allegati I e II della presente direttiva sono adottate conformemente alla procedura prevista dagli articoli 18 e 19 della direttiva 316/71.
Articolo 7
1. Gli Stati membri mettono in vigore le disposizioni legislative, regolamentari ed amministrative necessarie per conformarsi alla presente direttiva entro un termine di diciotto mesi a decorrere dalla sua notifica e ne informano immediatamente la Commissione.
2. In deroga al paragrafo 1, il Belgio, l’Irlanda, i Paesi Bassi e il Regno Unito possono rinviare, al più tardi sino al 31 dicembre 1979, l’entrata in vigore della presente direttiva e dei suoi allegati.
3. Durante il periodo nel quale la direttiva non sarà applicata in uno Stato membro, questo Stato membro non renderà più severe di quanto non siano alla data di adozione della direttiva le misure di controllo relative al quantitativo contenuto negli imballaggi preconfezionati cui si riferisce la presente direttiva e provenienti dagli altri Stati membri.
4. Durante questo stesso periodo, gli Stati membri che hanno messo in vigore la direttiva accetteranno gli imballaggi preconfezionati provenienti dagli Stati membri che beneficiano della deroga prevista dal paragrafo 2 che sono conformi alle disposizioni dell’allegato I, punto 1, anche se privi del marchio CEE previsto dal punto 3.3 dell’allegato I, allo stesso titolo e alle stesse condizioni validi per gli imballaggi preconfezionati conformi a tutte le disposizioni della direttiva.
5. Il controllo previsto dall’allegato I, punto 5, verrà effettuato dalle autorità competenti dello Stato membro di destinazione qualora si tratti di imballaggi preconfezionati fabbricati fuori della Comunità e importati sul territorio della stessa in uno Stato membro in cui non sia ancora entrata in vigore la direttiva conformemente al disposto di questo articolo.
6. Gli Stati membri provvedono a comunicare alla Commissione il testo delle disposizioni essenziali di diritto interno che essi adottano nel settore disciplinato dalla presente direttiva.
Articolo 8
Gli Stati membri sono destinatari della presente direttiva.
ALLEGATO I
1. OBIETTIVI
Gli imballaggi preconfezionati di cui alla presente direttiva devono essere confezionati in modo che l’imballaggio terminato soddisfi alle seguenti condizioni:
1.1. il contenuto effettivo degli imballaggi preconfezionati non deve essere inferiore, in media, alla quantità nominale; 1.2. la proporzione di imballaggi preconfezionati, che presentano un errore in meno superiore all’errore massimo tollerato previsto al punto 2.4, deve essere sufficientemente scarsa per far sì che le partite di imballaggi preconfezionati soddisfino ai controlli definiti nell’allegato II;
1.3. nessun imballaggio preconfezionato che presenti un errore in meno superiore a due volte l’errore massimo tollerato riportato nella tabella di cui al punto 2.4 potrà portare il marchio CEE previsto al punto 3.3.
2. DEFINIZIONI E PRESCRIZIONI DI BASE
2.1. La quantità nominale (massa nominale o volume nominale) del contenuto di un imballaggio preconfezionato è la massa o il volume indicati sull’imballaggio, e corrisponde alla quantità di prodotto che l’imballaggio si ritiene debba contenere.
2.2. Il contenuto effettivo di un imballaggio preconfezionato è la quantità (massa o volume) di prodotto che esso contiene realmente. In tutte le operazioni di controllo, per i prodotti la cui quantità è espressa in unità di volume, il valore del contenuto effettivo preso in considerazione è quello di detto contenuto alla temperatura di 20 °C, qualunque sia la temperatura alla quale sono stati eseguiti il riempimento o il controllo. Tale norma non si applica tuttavia ai prodotti surgelati e congelati la cui quantità è espressa un unità di volume.
2.3. L’errore in meno di un imballaggio preconfezionato è la quantità di cui il suo contenuto effettivo differisce in meno dalla quantità nominale.
2.4. L’errore massimo tollerato in meno sul contenuto di un imballaggio preconfezionato è fissato conformemente alla seguente tabella:
|
Quantità nominale Qn in grammi o in millilitri |
Errori massimi tollerati in meno |
|
|
in % di Qn |
in g oppure in ml |
|
|
da 5 a 50 |
9 |
– |
|
da 50 a 100 |
– |
4,5 |
|
da 100 a 200 |
4,5 |
– |
|
da 200 a 300 |
– |
9 |
|
da 300 a 500 |
3 |
– |
|
da 500 a 1.000 |
– |
15 |
|
da 1.000 a 10.000 |
1,5 |
– |
Per l’applicazione della tabella, i valori calcolati in unità di massa o di volume degli errori massimi tollerati, ivi indicati in percentuale, vanno arrotondati per eccesso al decimo di grammo o di millilitro.
3. ISCRIZIONI E MARCHIATURA
Qualsiasi imballaggio preconfezionato preparato conformemente alla presente direttiva deve recare le seguenti iscrizioni apposte in modo da risultare indelebili, ben leggibili e visibili sull’imballaggio nelle condizioni usuali di presentazione:
3.1. la quantità nominale (massa nominale o volume nominale) espressa in chilogrammi o grammi, litri, centilitri o millilitri, per mezzo di cifre aventi l’altezza minima sotto indicata:
6 mm se la quantità nominale è superiore a 1 000 g o 100 cl,
4 mm se è compresa fra 1 000 g o 100 cl inclusi e 200 g o 20 cl esclusi,
3 mm se è compresa fra 200 g o 20 cl e 50 g o 5 cl esclusi,
2 mm se è uguale o inferiore a 50 g o 5 cl, seguita dal simbolo dell’unità di misura usata o eventualmente dal suo nome, conformemente alle prescrizioni della direttiva 354/71, modificata dalla direttiva 770/76.
Le indicazioni in unità imperiali (UK) devono essere realizzate in caratteri le cui dimensioni siano tutt’al più uguali a quelle dei caratteri delle corrispondenti indicazioni in unità SI;
3.2. un marchio o un’iscrizione che permetta al servizio competente di identificare chi ha effettuato o fatto effettuare il riempimento, oppure l’importatore, stabiliti nella Comunità;
3.3. la lettera minuscola «e», dell’altezza minima di 3 mm, collocata nello stesso campo visivo dell’indicazione della massa o del volume nominale, che certifichi sotto la responsabilità di chi effettua il riempimento o dell’importatore la conformità dell’imballaggio preconfezionato alle disposizioni della presente direttiva.
Tale lettera avrà la forma rappresentata nel disegno del punto 3 dell’allegato II della direttiva 316/71.
L’articolo 12 di tale direttiva è applicabile per analogia.
4. RESPONSABILITÀ DI CHI EFFETTUA IL RIEMPIMENTO O DELL’IMPORTATORE
A chi effettua il riempimento, o all’importatore, incombe la responsabilità di garantire che gli imballaggi preconfezionati siano conformi alle prescrizioni della presente direttiva.
La quantità di prodotto contenuta in un imballaggio preconfezionato (o quantità di riempimento), denominata contenuto effettivo, deve essere misurata oppure controllata (in massa o in volume) sotto la responsabilità di chi effettua il riempimento e/o dell’importatore. La misurazione o il controllo sono effettuati mediante uno strumento legale di misura adatto alla natura delle operazioni da compiere.
Il controllo può essere eseguito per campionamento.
Quando il contenuto effettivo non viene misurato, il controllo di chi effettua il riempimento deve essere organizzato in modo che sia effettivamente garantito il valore di questo contenuto.
Detta condizione è soddisfatta se chi effettua il riempimento procede ad un controllo di fabbricazione secondo modalità ammesse dai servizi competenti dello Stato membro e tiene a disposizione di detti servizi i documenti in cui sono registrati i risultati del controllo, per attestare che i controlli, le correzioni e gli aggiustamenti resisi necessari sono stati effettuati in modo corretto e regolare.
In caso di importazioni provenienti dai paesi terzi l’importatore, anziché effettuare la misurazione o il controllo, può dimostrare di essersi premunito di tutte le garanzie che gli consentono di assumersi la responsabilità.
Per i prodotti la cui quantità è espressa in unità di volume, un modo tra gli altri per soddisfare agli obblighi di misurazione o di controllo del volume è quello di impiegare, per la preparazione degli imballaggi preconfezionati, i recipienti-misura definiti nell’apposita direttiva riempiti alle condizioni previste da quest’ultima e dalla presente direttiva.
5. CONTROLLI CHE I SERVIZI COMPETENTI DOVRANNO ESEGUIRE PRESSO CHI EFFETTUA IL
RIEMPIMENTO O PRESSO L’IMPORTATORE, OPPURE PRESSO IL MANDATARIO STABILITO NELLA COMUNITÀ
Il controllo della conformità degli imballaggi preconfezionati alle disposizioni della presente direttiva viene effettuato dai servizi competenti degli Stati membri mediante sondaggio presso chi effettua il riempimento dell’imballaggio o, in caso di impossibilità pratica, presso l’importatore o il suo mandatario stabilito nella Comunità.
Questo controllo statistico mediante campionamento viene effettuato in conformità delle norme emanate in materia di controllo di qualità. Esso deve avere un’efficacia comparabile a quella del metodo di riferimento specificato nell’allegato II. Così, per il criterio del contenuto minimo tollerato, un piano di campionamento applicato da uno Stato membro sarà dichiarato comparabile a quello di cui all’allegato II se l’ascissa del punto di ordinata 0,10 della curva di efficacia del primo piano (probabilità di accettazione del lotto = 0,10) differisce di meno del 15% dall’ascissa del punto corrispondente dell’analoga curva del piano di campionamento di cui all’allegato II.
Per il criterio della media realizzato col metodo dello scarto-tipo, un piano di campionamento applicato da uno Stato membro sarà dichiarato comparabile a quello di cui all’allegato II se, considerate le curve di efficacia di questi due piani con variabile dell’asse delle ascisse
Qn - m s
(m = valore della media effettiva del lotto), l’ascissa del punto di ordinata 0,10 della curva del primo piano (probabilità di accettazione del lotto = 0,10) differisce di meno di 0,05 dall’ascissa del punto corrispondente della curva del piano di campionamento di cui all’allegato II.
6. ALTRI CONTROLLI ESEGUITI DAI SERVIZI COMPETENTI
La presente direttiva non ostacola i controlli che possono essere esercitati in ogni fase del commercio dai servizi competenti negli Stati membri, per verificare in particolare che gli imballaggi preconfezionati siano conformi alle prescrizioni della direttiva.
L’articolo 15, paragrafo 2, della direttiva 316/71 si applica per analogia.
ALLEGATO II
Il presente allegato stabilisce le modalità del metodo di riferimento per il controllo statistico dei lotti di imballaggi preconfezionati per ottemperare alle prescrizioni dell’articolo 3 della direttiva e del punto 5 dell’allegato I.
1. PRESCRIZIONI RELATIVE ALLA MISURAZIONE DEL CONTENUTO EFFETTIVO DEGLI IMBALLAGGI PRECONFEZIONATI
Il contenuto effettivo degli imballaggi preconfezionati può essere misurato direttamente per mezzo di strumenti di pesatura o di strumenti di misura volumetrici oppure, se si tratta di un liquido, indirettamente per pesatura del prodotto preconfezionato e misurazione della massa volumica.
Qualunque sia il metodo impiegato, l’errore commesso nella misurazione del contenuto effettivo di un imballaggio preconfezionato deve essere al massimo pari ad un quinto dell’errore massimo tollerato in meno sulla quantità nominale dell’imballaggio preconfezionato.
Il metodo di misurazione può formare oggetto di una normativa specifica di ciascuno Stato membro.
2. PRESCRIZIONI RELATIVE AL CONTROLLO DEI LOTTI DI IMBALLAGGI PRECONFEZIONATI
Il controllo degli imballaggi preconfezionati è effettuato per campionamento e comprende due parti:
— un controllo riguardante il contenuto effettivo di ciascun imballaggio preconfezionato del campione;
— un secondo controllo riguardante la media dei contenuti effettivi degli imballaggi preconfezionati del campione. Un lotto di imballaggi preconfezionati è considerato accettabile se i risultati dei due controlli soddisfano entrambi ai criteri di accettazione.
Per ciascun controllo esistono due piani di campionamento da impiegare come segue:
— uno per il controllo non distruttivo, che non comporta cioè l’apertura dell’imballaggio;
— l’altro per il controllo distruttivo, che comporta cioè l’apertura o la distruzione dell’imballaggio.
Per motivi economici e pratici, quest’ultimo controllo è limitato allo stretto indispensabile e la sua efficacia è inferiore a quella del controllo non distruttivo.
Si deve quindi procedere al controllo distruttivo soltanto quando è praticamente impossibile effettuare un controllo non distruttivo. Normalmente, esso non viene effettuato per partite inferiori alle 100 unità.
2.1. Lotti di imballaggi preconfezionati
2.1.1. Il lotto è costituito dall’insieme degli imballaggi preconfezionati della stessa quantità nominale, dello stesso modello e della stessa fabbricazione, riempiti nello stesso luogo, oggetto del controllo. La sua grandezza è limitata ai valori definiti qui di seguito.
2.1.2. Quando il controllo degli imballaggi preconfezionati viene effettuato alla fine della catena di riempimento, la grandezza del lotto è pari alla produzione oraria massima della catena di riempimento senza limitazione di tale grandezza. Negli altri casi la grandezza del lotto è limitata a 10.000 imballaggi preconfezionati.
2.1.3. Per i lotti di grandezza inferiore a 100 imballaggi preconfezionati il controllo non distruttivo, quando ha luogo, viene effettuato al 100 %.
2.1.4. Prima di effettuare i controlli di cui ai punti 2.2 e 2.3, si deve prelevare a caso dal lotto un numero sufficiente di imballaggi preconfezionati, per consentire lo svolgimento del controllo che richiede il campione di maggiore numerosità.
Per l’altro controllo, il campione necessario sarà prelevato a caso dal primo campione e quindi contrassegnato.
L’operazione di contrassegno deve essere effettuata prima di dare inizio alle operazioni di misurazione.
2.2. Controllo del contenuto effettivo di un imballaggio preconfezionato
Il contenuto minimo tollerato viene ottenuto deducendo dalla quantità nominale dell’imballaggio preconfezionato l’errore massimo tollerato in meno corrispondente a tale quantità nominale.
I singoli elementi del lotto, il contenuto effettivo dei quali sia inferiore al contenuto minimo tollerato, sono denominati difettosi.
2.2.1. Controllo non distruttivo
Per il controllo non distruttivo si ricorre ad un piano di campionamento doppio quale figura nella tabella seguente. Il primo numero di imballaggi preconfezionati controllati deve essere pari alla numerosità del primo campione indicata nel piano:
— se il numero dei difettosi riscontrato nel primo campione è inferiore o pari al primo criterio di accettazione, il lotto è considerato accettabile per questo controllo;
— se il numero dei difettosi riscontrato nel primo campione è pari o superiore al primo criterio di rifiuto, il lotto è respinto; — se il numero dei difettosi riscontrato nel primo campione è compreso fra il primo criterio di accettazione ed il primo criterio di rifiuto, si deve controllare un secondo campione la cui numerosità è indicata nel piano.
I numeri dei difettosi riscontrati nel primo e nel secondo campione devono essere addizionati:
— se il totale dei difettosi è inferiore o pari al secondo criterio di accettazione, il lotto viene considerato accettabile per tale controllo;
— se il totale dei difettosi è superiore o pari al secondo criterio di rifiuto, il lotto viene respinto.
|
Grandezza del lotto |
Campioni |
Numero di difettosi |
|||
|
Ordine |
Numerosità |
Numerosità totale |
Criterio di accettazione |
Criterio di rifiuto |
|
|
da 100 a 500 |
1° 2° |
30 30 |
30 60 |
1 4 |
3 5 |
|
da 501 a 3.200 |
1° 2° |
50 50 |
50 100 |
2 6 |
5 7 |
|
oltre 3.200 |
1° 2° |
80 80 |
80 160 |
3 8 |
7 9 |
Per il controllo distruttivo si ricorre al piano di campionamento semplice riportato qui di seguito che deve essere utilizzato unicamente per lotti di grandezza pari o superiore a 100.
Il numero di imballaggi preconfezionato controllati è pari a 20:
— se il numero dei difettosi riscontrato nel campione è inferiore o pari al criterio di accettazione, il lotto è considerato accettabile;
— se il numero dei difettosi riscontrato nel campione è pari o superiore al criterio di rifiuto, il lotto è respinto.
|
Grandezza del lotto |
Numerosità del campione |
Numero di difettosi |
|
|
Criterio di accettazione |
Criterio di rifiuto |
||
|
Indipendentemente dalla grandezza (≥ 100) |
20 |
1 |
2 |
2.3. Controllo della media dei contenuti effettivi dei singoli elementi di un lotto di imballaggi preconfezionati 2.3.1. Un lotto di imballaggi preconfezionati è considerato accettabile per il controllo della media, se la media
dei contenuti effettivi xi degli n imballaggi preconfezionati del campione sarà superiore al valore:

dove:
Qn = quantità nominale degli imballaggi preconfezionati, n = numero di imballaggi preconfezionati del campione per il controllo, s = stima dello scarto tipo dei contenuti effettivi del lotto, t(1 - α) = variabile aleatoria della distribuzione di Student, funzione del grado di libertà ν = n - 1 e del livello di fiducia (1 - α) = 0,995.
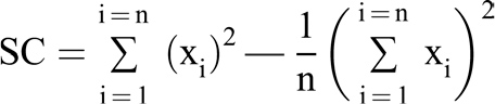
2.3.2. Chiamando xi la misura del contenuto effettivo dello iesimo elemento del campione di n elementi si ottiene:
2.3.2.1. la media delle misure del campione calcolando:
2.3.2.2. la stima dello scarto tipo s calcolando:
— la somma dei quadrati delle misure: ![]()
— il quadrato della somma delle misure: ![]()
poi ![]()
— la somma corretta: ![]()
— la stima della varianza: ![]()
— la stima dello scarto tipo è data dalla seguente formula: ![]()
2.3.3. Criterio d’accettazione o di rifiuto dei lotti di imballaggi preconfezionati per il controllo della media:
2.3.3.1. Criterio per il controllo non distruttivo

2.3.3.2. Criterio per il controllo distruttivo